为提升乳腺癌早期辅助化疗疗效评估的精准度,重庆大学附属肿瘤医院影像科张久权教授团队持续深耕。2025年7月22日,其团队在国际影像学顶级期刊Radiology(IF=15.2,中科院1区)上发表题为“Comparing Multi–b-Value Diffusion MRI Models for Predicting Pathologic Complete Response to Neoadjuvant Chemotherapy in Breast Cancer”(“多b值扩散MRI模型预测乳腺癌新辅助化疗病理完全缓解的对比研究”)的研究论著。
该研究创新采用纵向多时间点监测,系统地比较了三种扩散MRI模型(ADC、IVIM、DKI)对乳腺癌新辅助化疗(NAC)疗效的预测价值,为临床早期疗效评估提供了重要依据。这是该团队继2024年6月、10月及2025年4月后,第四次在该权威期刊发表重要研究成果。

斯隆凯特琳癌症研究所Sunitha B.Thakur教授以及卡马戈癌症中心Almir G.V.Bitencourt教授对该研究给与高度肯定,杂志同期配发了两位教授撰写的述评。

研究背景
新辅助化疗是局部进展期乳腺癌的标准治疗手段。然而,仅部分患者能达到病理完全缓解(pCR),如何早期精准预测疗效一直是临床难题。近年来,多b值扩散MRI模型已被用于预测pCR。然而,目前缺乏系统性纵向对比研究。
因此,本研究旨在系统比较新辅助化疗期间多b值扩散MRI纵向参数在预测乳腺癌pCR中的效能,以寻求最优预测方法。
研究方法
该研究共纳入了160例接受了NAC治疗的乳腺癌患者,于治疗前(T1)和第2、4、6周期(T2、T3和T4)后分别采集体素内不相干运动成像(IVIM)和弥散峰度成像(DKI)。通过重复测量方差分析比较不同时间点的参数变化。通过向后逐步多变量logistic回归分析筛选pCR的独立预测因素,并结合临床病理特征建立了四种不同模型:临床病理模型、临床病理-ADC模型、临床病理-IVIM模型和临床病理-DKI模型。采ROC曲线下面积(AUC)来评估每个模型的预测效能。

(A)研究流程图和(B)研究参与者的纳入和排除流程图。
研究结果
1在NAC期间,ADC、Dt、Dp、Kapp和Dapp值均有增加(P < 0.05)。ADC、Dt和Dapp在pCR组和非pCR组之间存在显著性差异(P =0 .04、0.02和0.01)。

多b值扩散MRI参数在乳腺癌新辅助化疗期间的动态变化趋势
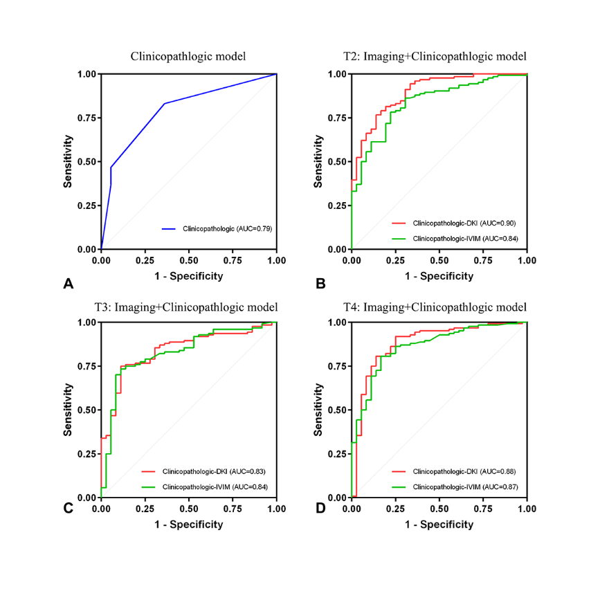
2在T2时间点,临床病理-DKI模型(AUC=0.90)优于临床病理模型(AUC=0.79;P < 0.001)和临床病理-IVIM模型(AUC=0.84;P = 0.04)。在T3和T4时间点,临床病理-DKI模型和临床病理-IVIM模型的预测性能相当(T3:AUC=0.84和0.83,P = 0.67;T4:AUC=0.88和0.87,P = 0.70),均高于临床病理模型(临床病理-DKI模型与临床病理模型:P=0.03和0.006;临床病理-IVIM模型与临床病理模型:P=0.04和0.048)。

pCR预测模型性能的ROC曲线分析

一名52岁luminal A亚型乳腺癌患者治疗后没有达到pCR的扩散MRI示意图
研究结论
在多时间点、多b值扩散MRI模型当中,基于新辅助化疗2周期后的DKI参数联合临床病理特征构建的模型在预测乳腺癌pCR方面表现出良好的性能。
据悉,重庆大学附属肿瘤医院影像科龚雪琴医生和王晓霞医生为该研究论文的共同第一作者,重庆大学附属肿瘤医院影像科主任张久权教授为论文唯一通讯作者。
作者简介
第一作者

龚雪琴
• 重庆大学附属肿瘤医院影像科医学硕士。研究方向:乳腺肿瘤影像学。
• 累计参与发表SCI论文11篇,其中以第一作者发表SCI论文3篇;参与重庆市自然科学基金项目2项,参与中央高校医工融合项目1项。
共同第一作者

王晓霞
• 重庆大学附属肿瘤医院 副主任医师 乳腺癌影像研究小组组长。研究方向:乳腺肿瘤影像学。
• 担任重庆市医学会放射医学分会磁共振学组委员;重庆市医药生物技术协会乳腺癌防治专委会委员;重庆市抗癌协会肿瘤影像专业委员会委员;重庆市妇幼卫生学会放射医学专业委员会委员;
• 累计参与发表SCI论文41篇,其中以第一及通讯作者(含共同)发表SCI论文26篇,包括影像学顶刊Radiology(3篇)、Breast cancer research(2篇)、Radiology: Imaging Cancer(2篇)、European Radiology(3篇)、等,CSCD论文2篇;主持重庆市自然科学基金面上项目2项,重庆市科卫联合项目、中央高校医工融合项目及重庆市卫生健康委医学科研项目共计5项,参与国自科1项、省部级科研项目数项。
通讯作者

张久权
• 重庆大学附属肿瘤医院医学博士,主任医师,教授,研究员,博士研究生导师,博士后合作导师,影像科主任、党支部书记。重庆市学术技术带头人,重庆市医学领军人才。曾赴美国Emory大学访问研究一年;研究方向:癌症影像学、癌症相关神经影像学和癌症相关心血管影像学。
• 担任中国抗癌协会肿瘤影像专业委员会常务委员,中华医学会放射学分会神经学组委员及对比剂使用和安全工作组委员,中国医师协会放射医师分会人工智能学组和互联网与大数据学组委员,重庆抗癌协会肿瘤影像专业委员会主任委员,重庆市中西医结合医学影像学组副主任委员、重庆市医学会放射医学分会常务委员兼磁共振学组组长和重庆市医师协会放射医师分会常务委员兼神经学组组长。担任《中华放射学杂志》、《磁共振成像》和《国际医学放射学杂志》通讯编委;
• 发表SCI论文160余篇,其中以第一作者或通讯作者在影像学综合期刊Radiology(4篇)、European Radiology(8篇)、Diagnostic and Interventional Imaging(6篇),心血管影像期刊JACC Cardiovascular Imaging、Circulation Cardiovascular Imaging和神经科学期刊Neurology、Journal of Neurology, Neurosurgery and Psychiatry等国际知名期刊上发表SCI论文130余篇,h指数35,正面引用超过3700次,JCR Q1区60余篇。近五年主持国家及省部级课题10余项,其中主持国家自然科学基金面上项目2项、省部级重点项目2项。主译专著《脑定量磁共振成像:物理测量原理》一部。获得重庆市科技进步奖二等奖一项。
